Mandler 35mm f/2 blaast klassieke Leica-lens nieuw leven in en biedt 138g metalen body tegen lage prijs

De Leica Summicron-M 35 mm f/2 Type 4, ook wel bekend als de "Koning van het Bokeh", wordt tweedehands nog steeds voor meer dan $1.000 verkocht, en in goede staat vragen sommige dealers meer dan $2.000 voor de lens die tussen 1979 en 1996 door Leica werd geproduceerd.
Top 10 Testrapporten
» Top 10 Multimedia Notebooks
» Top 10 Gaming-Notebooks
» Top 10 Budget Gaming Laptops
» Top 10 Lichtgewicht Gaming-Notebooks
» Top 10 Premium Office/Business-Notebooks
» Top 10 Budget Office/Business-Notebooks
» Top 10 Workstation-Laptops
» Top 10 Subnotebooks
» Top 10 Ultrabooks
» Top 10 Notebooks tot €300
» Top 10 Notebooks tot €500
» Top 10 Notebooks tot € 1.000De beste notebookbeeldschermen zoals getest door Notebookcheck
» De beste notebookbeeldschermen
» Top Windows Alternatieven voor de MacBook Pro 13
» Top Windows Alternatieven voor de MacBook Pro 15
» Top Windows alternatieven voor de MacBook 12 en Air
» Top 10 best verkopende notebooks op Amazon
» Top 10 Convertible Notebooks
» Top 10 Tablets
» Top 10 Tablets tot € 250
» Top 10 Smartphones
» Top 10 Phablets (>90cm²)
» Top 10 Camera Smartphones
» Top 10 Smartphones tot €500
» Top 10 best verkopende smartphones op Amazon
De lens die is ontworpen door Walter Mandler, optisch ingenieur bij Leica, heeft nog steeds een aanhang vanwege het ongewone uiterlijk. Een Chinees bedrijf heeft de lens nu gekopieerd, en van het ontwerp van de behuizing tot de optische structuur lijkt deze nieuwe versie heel dicht bij het origineel te liggen, behalve dat de replica voor een veel lagere prijs wordt aangeboden. Ondanks de lagere prijs is de behuizing gemaakt van aluminium. De lens is slechts ongeveer 1,3 inch lang en weegt 4,9 oz, en er wordt ook een messing versie aangeboden die 7,4 oz weegt.
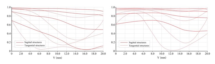
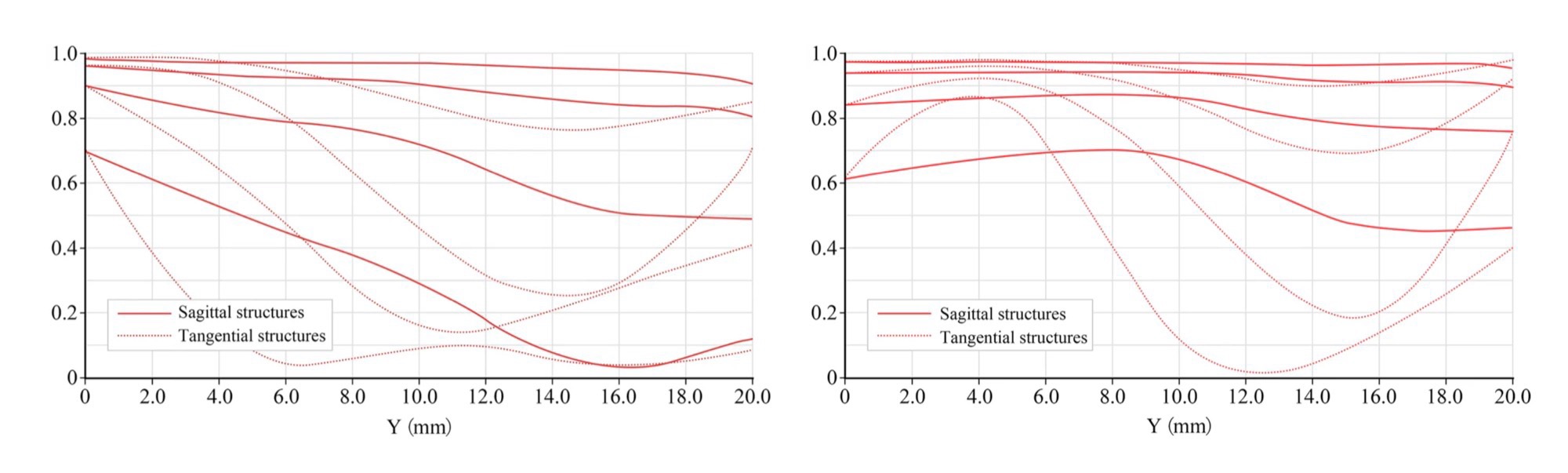
Het ontwerp van zeven elementen in vijf groepen is enigszins bijgewerkt om een betere beeldkwaliteit te leveren in combinatie met digitale sensoren. Zoals de MTF-curves van de fabrikant laten zien, heeft de lens echter, net als het origineel, een uitgesproken veldkromming, zodat het beeldcentrum en de hoeken scherper worden weergegeven dan het gebied daartussen. Zelfs in het midden is de lens niet bijzonder scherp bij wijd open gebruik.
Prijs en beschikbaarheid
De Mandler 35 mm f/2.0 "7 Elements" full-frame lens is nu verkrijgbaar in de online winkel van de fabrikant https://mandler.shop/products/mandler-35mm-f2-7-elements-aluminum#product-descriptionmet een Leica M-vatting voor $348 of met een LTM-schroefvatting voor $378. De zilveren versie kost $30 extra, en accessoirebundels met een zonnekap zijn ook verkrijgbaar tegen een meerprijs. De Leica M versie is momenteel uitverkocht, maar zal naar verwachting in maart weer verkrijgbaar zijn. Verzending vanuit China is gratis, maar de prijzen zijn exclusief eventuele invoerkosten.

















